جامعترین مجموعه سوالات نهایی و تیزهوشان فصل چهارم ریاضی نهم: توان و ریشه
در این مقاله تخصصی قصد داریم تا پکیج کاملی از سوالات نهایی و تیزهوشان فصل چهارم ریاضی نهم(توان و ریشه) را همراه با پاسخهای تشریحی، به طور رایگان در اختیار دانشآموزان و کاربران گرامی قرار دهیم تا با مطالعه این مقاله آمادگی خود را جهت شرکت در آزمونهای نهایی کشوری و آزمونهای نمونه و تیزهوشان افزایش دهند، پس لطفا تا انتهای این مطلب در سایت آلفا مث همراه ما باشید.
همچنین شبیه به این مطلب، برای بقیه فصلهای درس ریاضی پایه نهم نیز مجموعه طلایی از نمونه سوالات نهایی و تیزهوشان تهیه شده که با کلیک بر روی عنوان هر فصل، میتوانید از مقاله اختصاصی همان فصل استفاده نمایید:
بانک سوالات نهایی و تیزهوشان فصل اول ریاضی نهم
مجموعه طلایی سوالات نهایی کشوری و تیزهوشان فصل دوم ریاضی نهم
سوالات نهایی سالهای اخیر فصل سوم ریاضی نهم
فهرست محتوا
Toggleموضوعات و مباحث موجود در چهارمین فصل ریاضی نهم
مهمترین موضوعات موجود در فصل چهارم ریاضی پایه نهم به طور کلی شامل: توان صحیح، نماد علمی، ریشهگیری و جمع و تفریق رادیکالها میباشد. اکنون به طور خلاصهوار به موضوعات اشاره شده خواهیم پرداخت.
درس اول: توان صحیح
در بخش اول مفهوم توان و قوانین مربوط به اعداد تواندار که در سالهای قبل بیان شده بود، برای دانشآموزان یادآوری خواهد شد. همچنین موضوعاتی جدید مانند محاسبه توان منفی برای اعداد طبیعی یا در اصطلاح بدست آوردن حاصل اعداد طبیعی که دارای توان منفی هستند، قاعده ضرب کردن توانهای متوالی یا پشت سر هم برای عددهایی که بیشتر از یک توان دارند، جداسازی توانها برای عبارتهایی که درون پرانتز به توان یکسانی رسیدهاند، نیز مطرح شده که نیاز است تا دانشآموزان به طور دقیق این موضوعات را مطالعه و تمرین نمایند.
درس دوم: نماد علمی
در این بخش به موضوع نماد علمی پرداخته خواهد شد. از جمله کاربردهای موضوع نماد علمی میتوان به محاسبات فضایی، مهندسی، پزشکی و … اشاره کرد و موضوع پرکاربردی محسوب میشود. دانشآموزان در این بخش میآموزند که به چه شکل میتوان عددهای طبیعی و اعشاری را به صورت نماد علمی و عددی که به صورت نماد علمی نوشته شده است را به عدد اعشاری تبدیل نمایند و با قواعد نگارش یک عدد به فرم نماد علمی به طور کامل آشنا خواهند شد.
درس سوم: ریشهگیری
سومین بخش از فصل 4 ریاضی نهم به موضوع ریشهگیری اشاره دارد. در ابتدا مفهوم ریشههای دوم یک عدد حقیقی مثبت که قرینه یکدیگر هستند بیان شده و در ادامه با موضوع ریشه سوم اعداد نیز مطرح میشود. موضوع مربع و مکعب یک عدد نیز از سالهای قبل یادآوری خواهد شد. همچنین قوانین مرتبط با ضرب و تقسیم رادیکالها نیز به طور کامل در این بخش مورد بحث قرار میگیرد. در ضرب و تقسیم رادیکالها بیان میشود در صورتی میتوان اعداد رادیکالی را در هم ضرب کرد یا بر هم تقسیم کرد که این رادیکال ها حتما فرجههای یکسانی باید داشته باشند. همچنین موضوع ساده کردن رادیکالها یا در اصطلاح تجزیه کردن رادیکالها نیز در این بخش بیان شده است.
درس چهارم: جمع و تفریق رادیکالها
در آخرین بخش از فصل چهار ریاضی نهم به موضوع جمع و تفریق رادیکالها اشاره شده است. در این بخش بیان شده که اگر قسمت رادیکالها پس از ساده کردن شبیه به هم باشد، آنگاه حق داریم تا این اعداد رادیکالی با رادیکالهای یکسان را همانند عبارتهای جبری، جمع و تفریق نماییم. همچنین نحوه گویا کردن مخرج کسرهای رادیکالی نیز بیان شده و آخرین موضوع این فصل میباشد.
بررسی کامل سوالات فصل چهارم ریاضی سال نهم
اکنون قبل از آنکه به طور دقیق سوالات نهایی و تیزهوشان فصل چهارم ریاضی نهم را مورد بررسی قرار دهیم، در جدول زیر تعداد سوالات فصل چهارم در آزمونهای تیزهوشان و نمرات سوالات این فصل در آزمونهای نهایی کشوری را تقدیم نگاه دانشآموزان و کاربران گرامی سایت آلفا مث مینماییم:
| امتحان نهایی کشوری سال 1404 ساعت 7:30 | 2 نمره |
| امتحان نهایی کشوری سال 1404 ساعت 10:30 | 2 نمره |
| امتحان نهایی کشوری سال 1403 ساعت 10:30 | 2 نمره |
| امتحان نهایی کشوری سال 1403 ساعت 15:30 | 2 نمره |
| آزمون نمونه و تیزهوشان سال 1404 | 2 تست |
| آزمون نمونه و تیزهوشان سال 1403 | 1 تست |
| آزمون نمونه و تیزهوشان سال 1402 | 1 تست |
| آزمون نمونه و تیزهوشان سال 1401 | 1 تست |
| آزمون نمونه و تیزهوشان سال 1400 | 1 تست |
| آزمون نمونه و تیزهوشان سال 1399 | 1 تست |
سوالات نهایی کشوری فصل چهارم ریاضی پایه نهم(توان و ریشه) همراه با پاسخ تشریحی و تصویری
سوالات فصل چهارم ریاضی پایه نهم آزمون نهایی کشوری خرداد 1404 نوبت صبح ساعت 7:30 :
1. درستی یا نادرستی عبارت زیر را تعیین کنید.
پاسخ: این عبارت نادرست است.
2. به سوالات زیر پاسخ دهید.
پاسخ:
سوالات فصل چهارم ریاضی سال نهم آزمون نهایی کشوری خرداد 1404 نوبت صبح ساعت 10:30 :
1. درستی یا نادرستی عبارت زیر را تعیین کنید.
پاسخ: این عبارت نادرست است.
2. به سوالات زیر پاسخ دهید.
پاسخ:
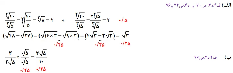
سوالات فصل چهارم از ریاضیات نهم آزمون نهایی کشوری خرداد 1403 نوبت صبح ساعت 10:30 :
1. درستی یا نادرستی عبارت زیر را تعیین کنید.
ریشه سوم عدد 8- برابر با عدد 2- است.
پاسخ: این عبارت درست است.
2. جای خالی زیر را با عدد یا عبارت مناسب کامل کنید.
3. به سوالات زیر پاسخ دهید.
4. به سوال زیر پاسخ دهید.
سوالات 4 ریاضی سال نهم آزمون نهایی کشوری خرداد 1403 نوبت صبح ساعت 15:30 :
1. درستی یا نادرستی عبارت زیر را تعیین کنید.
پاسخ: این عبارت نادرست است.
2. جای خالی زیر را با عدد یا عبارت مناسب کامل کنید.
3. به سوالات زیر پاسخ دهید.
پاسخ:
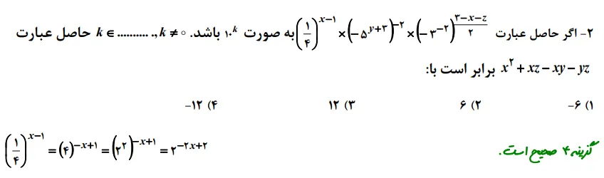
سوالات آزمون نمونه دولتی و تیزهوشان فصل چهارم ریاضی پایه نهم(توان و ریشه) همراه با پاسخ تشریحی و توضیح کامل
سوالات مربوط به فصل چهارم ریاضی نهم آزمون تیزهوشان و نمونه دولتی سال 1404 :
سوالات مربوط به فصل چهارم ریاضی پایه نهم آزمون تیزهوشان و نمونه دولتی سال 1403 :
سوالات مربوط به فصل چهارم ریاضی سال نهم آزمون تیزهوشان و نمونه دولتی سال 1402 :
سوالات مربوط به فصل چهارم از ریاضی نهم آزمون تیزهوشان و نمونه دولتی سال 1401 :
سوالات مربوط به فصل 4 از ریاضی سال نهم آزمون تیزهوشان و نمونه دولتی سال 1400 :
سوالات مربوط به فصل چهارم ریاضی نهم آزمون تیزهوشان و نمونه دولتی سال 1399 :
همچنین میتوانید تا فایل رایگان پی دی اف جزوه زیر را که حاوی نکتههای پیشرفته و ویژه فصل چهارم ریاضی نهم(نوان و ریشه) جهت کسب آمادگی در آزمون نمونه دولتی و تیزهوشان میباشد و در تهیه این مطلب نیز از آن کمک گرفته شد است را همراه با ذکر منبع که درون فایل قرار دارد دانلود نمایید:
جزوه تیزهوشان فصل چهارم ریاضی پایه نهم: توان و ریشه
سایت آلفا مث علاوه بر انتشار مقالات اختصاصی درباره موضوعات مرتبط با ریاضیات نهم، مطالب ارزشمند و مفیدی را در ارتباط با مباحث ریاضیات هفتم و ریاضیات هشتم نیز در صفحه دستهبندی ریاضیات مدرسهای گردآوری کرده تا به خوبی موضوعات مربوط به ریاضیات متوسطه اول را پوشش دهد و همراه دانشآموزان در طی روند آموزشی و یادگیری آنها باشد.




















دیدگاهتان را بنویسید