بررسی کامل صفحه به صفحه فصل چهارم از ریاضی پایه هشتم + PDF جزوات آموزشی
در این مطلب قصد داریم تا فصل چهارم از ریاضی پایه هشتم را به طور کامل و صفحه به صفحه برای دانشآموزان گرامی مورد بررسی قرار دهیم. همچنین جواب همهی کاردرکلاسها، فعالیتها و تمارین فصل چهارم ریاضی هشتم را در این مطلب به همراه تعدادی از کاملترین و بهترین جزوههای آموزشی مربوط به فصل 4 ریاضی سال هشتم یعنی فصل جبر و معادله را ارائه خواهیم کرد.
فصل چهارم از ریاضی پایه هشتم با عنوان جبر و معادله ضمن اینکه به یادآوری مباحثی همچون الگوهای عددی، عبارتهای جبری، پیدا کردن مقدار عددی یک عبارت جبری و معادله از فصل جبر و معادله ریاضی سال هفتم میپردازد، موضوعات جدیدی را نیز مانند ساده کردن عبارتهای جبری و تجزیه عبارتهای جبری را نیز به طور اختصاصی مورد بررسی قرار میدهد. همچنین این فصل سعی دارد تا دانشآموزان را به طور کامل با این مباحث آشنا نموده و توانایی حل مسائل مرتبط با موضوع جبر و معادله را در دانشآموزان ایجاد نماید. برای آشنایی با مباحث مهم و نکات آموزشی این فصل، این مطلب اختصاصی منتشرشده در سایت آلفا مث را تا انتها دنبال کنید.
کاربران و دانشآموزان گرامی همچنین میتوانند تا فایل pdf فصل چهارم کتاب درسی ریاضی هشتم را نیز از سایت آلفا مث دانلود نمایند تا در صورت عدم دسترسی به کتاب درسی، از پی دی اف فصل 4 ریاضی هشتم استفاده کنند.
حال قبل از آنکه شروع به بررسی صفحه به صفحه فصل چهارم ریاضی هشتم نماییم، همانطور که در مقدمه این مطلب نیز اشاره کردیم تعدادی از جامعترین و مناسبترین جزوات آموزشی فصل 4 ریاضی هشتم را به صورت پی دی اف و با ذکر منبع و نویسنده آن که در درون هر فایل قرار گرفته است، تقدیم دانشآموزان و کاربران گرامی سایت آلفا مث خواهیم کرد:
درسنامه و نکات کلیدی فصل چهارم ریاضی هشتم
جزوه جامع فصل چهار ریاضی هشتم همراه با مثال و تمرین
جزوه کامل فصل 4 ریاضی هشتم همراه با مثال
فهرست محتوا
Toggleفصل چهارم از ریاضی پایه هشتم: جبر و معادله
حالا نوبت آن رسیده است که به طور دقیق تمامی بخشهای این فصل را مطالعه کنیم. در هر بخش همهی کاردرکلاسها، فعالیتها و تمارین را به طور موشکافانه بررسی و پاسخهای صحیح این موارد را نیز تقدیم نگاه دانشآموزان جهت تکمیل شدن روند یادگیری خواهیم کرد. علاوه بر موارد بیان شده در هر قسمت اهداف و اشکالات و اشتباهات رایج دانشآموزان در فصل چهار ریاضی هشتم بیان خواهد شد.
همچنین بقیه مطالب تخصصی منتشرشده درباره دیگر فصول ریاضی سال هشتم را نیز میتوانید در دستهبندی ریاضی پایه هشتم مشاهده کرده و تمامی این مقالات آموزشی را مطالعه نمایید.
ساده کردن عبارتهای جبری
نخستین درس از فصل چهارم ریاضی هشتم که با عنوان ساده کردن عبارتهای جبری مطرح شده است، سعی میکند تا اهداف آموزشی زیر را برای دانشآموزان محقق سازد:
- ایجاد درک مناسبی از حروف در یک عبارت جبری و استفاده صحیح از آنها در روابط و قواعد این فصل
- استفاده از عبارتهای جبری به عنوان الگو برای روابط هندسی مانند محیط و مساحت شکلها
- تشخیص صحیح جملات متشابه و نامتشابه در عبارات جبری
- استفاده از فقط جملات متشابه در عبارتهای جبری در روند ساده کردن این عبارتها
- درست انجام دادن اعمال مربوط به ضرب عدد یا عبارت در عبارتهای جبری و سپس آغاز روند ساده کردن آنها
همچنین از رایجترین اشتباهات و اشکالات درسی دانشآموزان در این بخش نیز میتوان به موارد زیر اشاره کرد:
فعالیت صفحه 52 فصل چهارم ریاضی هشتم
1. در سال گذشته با درس توان آشنا شدید. عبارتهای کلامی را به صورت جبری و عبارتهای جبری را به صورت کلامی بنویسید.
3. شکلهای زیر با چوب کبریت و با الگویی مشخص ساخته شدهاند. شکل nام با چند چوب کبریت ساخته میشود؟
کاردرکلاس صفحه 53 فصل چهارم ریاضی پایه هشتم
1. در سال گذشته، ضرب یک عدد را در پرانتز با شکل زیر یاد گرفتید. این تساوی چگونه به کمک شکل به دست آمده است؟ توضیح دهید.
2. شما همچنین جمع و تفریق جملههای متشابه( جملههایی که همه قسمتهای حرفی آنها یکی هستند) را یاد گرفتهاید. جملههای متشابه را پیدا کنید.
فعالیت صفحه 53 فصل چهارم ریاضی سال هشتم
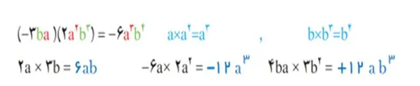
1. حاصل ضرب دو جمله را مانند نمونه بهدست آورید. از کدام قانون ساده کردن عبارتهای تواندار استفاده میکنید؟ توضیح دهید.
2. با توجه به شکل و مساوی بودن مساحتها را در دو قسمت، یک تساوی جبری نتیجه بگیرید.
3. با توجه به شکل و مساوی بودن مساحتها در دو قسمت، تساوی جبری را کامل کنید.
کاردرکلاس صفحه 54 فصل 4 ریاضی هشتم
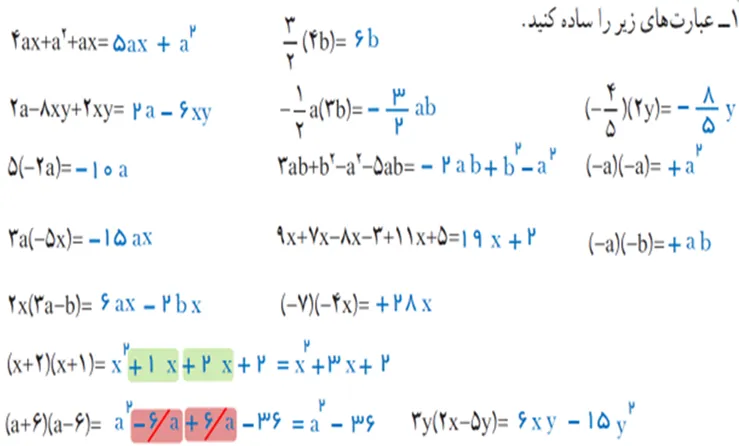
1. عبارتهای زیر را ساده کنید.
تمرین صفحه 55 فصل 4 ریاضی پایه هشتم
1. عبارت جبری جمله nام هر یک از الگوهای عددی زیر را بنویسید.
2. عبارتهای جبری زیر را ساده کنید.
3. مساحت هر شکل را با یک عبارت جبری بیان کنید.
5. با توجه به شکل، یک تساوی جبری بنویسید.
پیدا کردن مقدار یک عبارت جبری
در دومین بخش از این فصل، کتاب درسی سعی دارد تا دانشآموزان را با مفهوم مقدار عددی یک عبارت جبری و بدست آوردن این مقدار به طور کامل آشنا نموده و توانایی پیدا کردن مقدار عبارتهای جبری را برای دانشآموزان فراهم نماید.
همچنین از جمله اهداف آموزشی این بخش میتوان به موارد زیر اشاره کرد:
- درک مفهوم مقادیر ورودی و خروجی برای یک عبارت جبری
- نحوه انجام محاسبات و استفاده از مقادیر ورودی برای رسیدن به مقادیر نهایی خروجی در عبارت جبری
- جایگذاری صحیح هر مقدار ورودی در جایگاه مخصوص به خود در یک عبارت جبری
شایعترین اشتباهاتی که ممکن است دانشآموزان در این بخش با آن روبهرو شوند عبارت است از:
- عدم درک صحیح مفاهیم ورودی و خروجی در یک عبارت جبری
- اشتباه در اجرای انجام محاسبات در یک عبارت جبری
- خطا در جایگذاری صحیح مقادیر ورودی در عبارت جبری که منجر به نرسیدن به مقدار خروجی درست خواهد شد
فعالیت صفحه 56 فصل چهارم از ریاضی پایه هشتم
کاردرکلاس صفحه 57 فصل چهارم ریاضی هشتم
1. عدد x به ماشینهای زیر وارد و عدد y از آنها خارج میشود. با توجه به کاری که این ماشینها انجام میدهند، عددهای خروجی را بنویسید.
2. با توجه به جدولهای زیر و رابطه x و y، جاهای خالی جدولها را پر کنید:
3. با توجه به عددهای ورودی و خروجی در هر ردیف، کاری را که ماشین انجام میدهد حدس بزنید.
فعالیت صفحه 57 فصل چهارم ریاضی سال هشتم
1. به عددهای زوج زیر توجه کنید. همانطور که میبینید، هر عدد زوج را میتوان به صورت 2×n نشان داد.
2. عددهای زوج زیر را به صورت 2n (n یک عدد طبیعی باشد) نشان دهید.
3. در عبارتهای زیر به جای حروف k و m و a عددهای طبیعی مختلفی قرار دهید. آیا عددهای حاصل، زوجاند؟
4. a و b و c را عددهای طبیعی در نظر بگیرید و به سوالهای زیر پاسخ دهید:
5. آیا حاصل ضرب هر دو عدد زوج عددی زوج است؟
کاردرکلاس صفحه 58 فصل 4 ریاضی هشتم
مانند سوال 5 فعالیت بالا، ثابت کنید که حاصل یک عدد زوج در یک عدد فرد، عددی زوج است.
تمرین صفحه 59 فصل چهارم از ریاضی سال هشتم
1. مساحت کل مکعب مستطیل روبهرو را به صورت جبری بنویسید. اگر 2=a و 6=b و 3=c باشند، مساحت کل چقدر میشود؟
2. مساحت قاعده منشوری 20 و ارتفاع آن 4 است. حجم این منشور را با نوشتن رابطه جبری حجم منشورها بهدست آورید.
3. قاعدههای ذوزنقهای 4 و 7 سانتیمتر و ارتفاع آن 2 سانتیمتر است. مساحت این ذوزنقه را پس از نوشتن رابطه جبری مساحت ذوزنقه حساب کنید.
4. آیا 2=x و 2-=x پاسخ معادله 4=x2 هستند؟ چرا؟
5. طول یک لوله x متر است. طول لوله دیگر، y برابر لوله اول است. طول لوله دوم را به صورت جبری بنویسید.
6. یک زمین والیبال مستطیل شکل، دارای x متر عرض و 2x طول است. مساحت این زمین را به صورت جبری نشان دهید. اگر عرض این زمین 9 متر باشد، مساحت آن چند متر مربع است؟
7. در درس علوم یاد میگیرید که انرژی پتانسیل ذخیره شده در هر جسم از رابطه U=mg .h به دست میآید که در آن، U انرژی پتانسیل، m جرم جسم، g شتاب زمین و h ارتفاع ارتفاع جسم است. درصورتی که جسمی به جرم 25 کیلوگرم تا ارتفاع 4 متر بالا برود، مقدار انرژی پتانسیل آن را پیدا کنید. (شتاب زمین را 10 فرض کنید.)
8. با توجه به رابطه x و y، مقدار y را برای x های مختلف پیدا کنید.
تجزیه عبارتهای جبری
کتاب درسی در این بخش قصد دارد تا دانشآموزان پایه هشتم را با روند تجزیه یک عبارت جبری به طور کامل آشنا سازد. از مهمترین اهداف درسی و آموزشی این بخش میتوان به موارد زیر اشاره نمود:
- تشخیص صحیح خاصیت توزیعپذیری توسط دانشآموزان
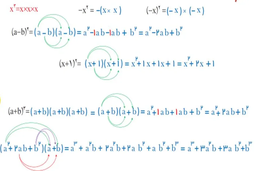
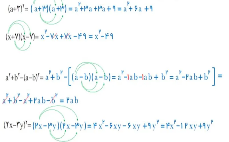
- آشنایی با ضرب دو جملهای هنگامی که دو پرانتز جداگانه قرار دارند
- ساده کردن عبارتهای جبری توسط تجزیه کسرهای جبری
- درک صحیح مفهوم عامل مشترک و تشخیص آن میان عبارتهای جبری
همچنین رایجترین اشتباهاتی که دانشآموزان در این بخش با آن روبهرو هستند شامل:
- تشخیص ندادن عامل مشترک در میان عبارتهای جبری
- اشتباه در تجزیه کردن عبارات جبری پس از تشخیص و جداسازی(فاکتور گیری) عامل مشترک
- خطا در ضرب پرانتزهای حاوی عبارتهای جبری در یکدیگر
- عدم تشخیص صحیح جملات متشابه
- عدم تشخیص درست توان در بالای یک پرانتز و یا توان در بالای یک متغیر
فعالیت صفحه 60 فصل چهارم ریاضی هشتم
1. در دوره دبستان یاد گرفتید که با تبدیل صورت و مخرج کسر به ضرب عددها، میتوان کسر را ساده کرد. کسرهای زیر را مانند نمونه ساده کنید.
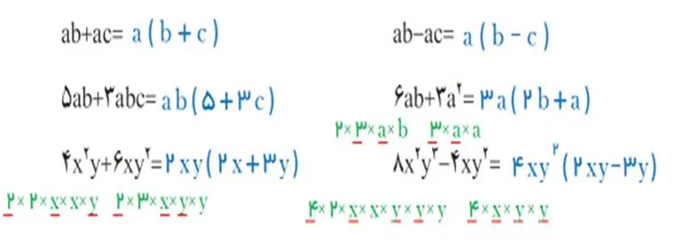
2. بعضی از عبارتهای جبری را نیز میتوان به صورت ضرب دو یا چند عبارت نوشت؛ عبارتها را به ضرب تبدیل کنید.
4. با توجه به سوال صفحه قبل، عبارتهای جبری زیر را تجزیه کنید.
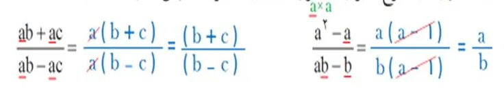
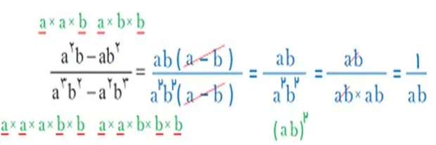
5. ابتدا صورت و مخرج کسر را تجزیه و سپس آن را ساده کنید.
کاردرکلاس صفحه 61 فصل چهارم از ریاضی پایه هشتم
1. عبارتهای زیر را به ضرب تبدیل کنید.
2. با تبدیل به ضرب، صورت و مخرج کسر را ساده کنید.
3. آیا تساوی(a + b)- = a-b- همواره برقرار است؟
4. چرا مجموع دو عدد زوج، عددی زوج میشود؟
فعالیت صفحه 62 فصل چهارم ریاضی سال هشتم
1. تفاوت x2 و 2x چیست؟
2. مانند نمونه، طرف دیگر تساویها را بنویسید.
3. جدول زیر را برای مقدارهای مختلف a و b کامل کنید.
4. مانند نمونه، عبارتها را ساده کنید.
کاردرکلاس صفحه 62 فصل 4 ریاضی هشتم
1. مانند نمونه، تساویها را کامل کنید.
2. چرا ba=ab است؟ (از کدام خاصیت ضرب استفاده میشود؟)
از خاصیت جابهجایی
3. عبارت زیر را ساده کنید.
تمرین صفحه 63 فصل چهارم از ریاضی هشتم
1. آیا b−a=−(a−b) است؟ چرا؟ بله
2. چرا مجموع دو عدد فرد، عددی زوج میشود؟
3. مجموع دو عدد که یکی زوج و دیگری فرد باشد، زوج میشود یا فرد؟ چرا؟
4. عبارتهای جبری زیر را ساده کنید.
5. با توجه به پیکانهای رسم شده، عبارت را ساده کنید.
6. نشان دهید که تفاضل هر عدد دو رقمی از مقلوبش، مضرب 9 است.
7. اگر دو پرانتز زیر را در هم ضرب کنیم، چند جمله خواهیم داشت؟ چرا؟ 9 جمله
معادله
آخرین بخش فصل چهارم از ریاضی پایه هشتم به موضوع معادله میپردازد. از مهمترین اهداف درسی و آموزشی این بخش میتوان به موارد زیر اشاره نمود:
- یادآوری مباحث مربوط به معادله ریاضی سال هفتم
- مقایسه روشهای حل معادله برای دانشآموزان
- استفاده از معادلات برای حل سوالات مرتبط با عبارات جبری
- استفاده از راهبرد تشکیل حل معادله برای حل مسئله
- ایجاد درک صحیح روش حل معادلات کسری برای دانشآموزان
- آموزش استفاده از روش ضرب یک عدد در دو طرف معادلات کسری
شایعترین اشتباهاتی که دانشآموزان در مبحث معادله با آن روبهرو هستند عبارت است از:
- ضرب اشتباه یک عدد در معادلات کسری و ضرب نکردن عدد در عددهای ثابت درون عبارت جبری
- عوض نکردن علامت عبارت جبری هنگام جابهجایی به طرف دیگر تساوی
- پیدا نکردن عدد مناسبی که باید در معادلات کسری ضرب شود تا این معادلات از حالت کسری خارج شوند
فعالیت صفحه 64 فصل چهارم ریاضی هشتم
کاردرکلاس صفحه 65 فصل چهارم از ریاضی پایه هشتم
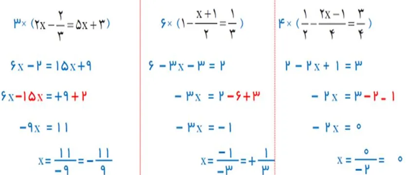
معادلههای زیر را حل کنید.
فعالیت صفحه 66 فصل چهارم ریاضی پایه هشتم
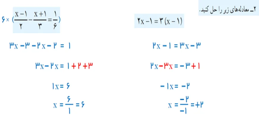
1. معادله زیر را دو دانش آموز حل کردهاند. راه حل آنها را توضیح دهید. ویژگیهای هر کدام از روشها را بگویید و در کلاس با یکدیگر در این باره گفتوگو کنید.
کاردرکلاس صفحه 66 فصل 4 ریاضی هشتم
معادلههای زیر را حل کنید.
تمرین صفحه 67 فصل چهارم ریاضی هشتم
1. معادلههای زیر را حل کنید.
2. عرض مستطیلی 5 سانتی متر و محیط آن 24 سانتی متر است. طول این مستطیل چقدر است؟
3. هفت برابر عددی به اضافه 4 مساوی 58 است. آن عدد چند است؟
4. حاصل جمع سه عدد متوالی طبیعی 27 شده است. کوچکترین این عددها را پیدا کنید.
6. اگر مربع عددی به آن عدد اضافه شود، عدد حاصل، 42 خواهد بود. کدام یک از اندازههای زیر میتواند مقدار آن عدد باشد؟
7. پدری 45 سال دارد. دو فرزند او 9 و 14 سالهاند. پس از چند سال سن پدر با مجموع سن فرزندانش برابر میشود؟
8. در درس علوم یاد گرفتید که کار انجام شده با مقدار نیرو در اندازه جابه جایی برابر است. این رابطه را با تساوی W=F.d نشان میدهیم. اگر کار انجام شده 12 و مقدار نیرو 4 باشد، مقدار جابه جایی را حساب کنید.
تمرین ترکیبی صفحه 68 فصل چهارم از ریاضی هشتم
1. عبارت جبری زیر را ساده کنید.
مقدار عددی عبارت حاصل را به ازا 2 = a و 2- = b بهدست آورید.
2. معادلههای زیر را حل کنید.
همچنین دانشآموزان و کاربران گرامی میتوانند تا در صورت تمایل از بقیه مطالب تخصصی انتشاریافته در سایت آلفا مث و در صفحه ریاضیات مدرسهای درباره بقیه فصلهای ریاضی هشتم، شبیه به این مطلب با کلیک بر روی هر کدام از عناوین فصلهای مورد نظر خود دیدن نمایند:
علاوه بر ریاضی هشتم، کاربران گرامی در صورت تمایل میتوانند تا از مطلب اختصاصی منتشرشده در سایت آلفا مث در ارتباط با فصل چهارم ریاضی هفتم با عنوان فصل 4 ریاضی هفتم استفاده و مطالعه نمایند.














































































دیدگاهتان را بنویسید